23+ Numerical Techniques For Microwave And Millimeter-Wave Passive Structures Pdf
The most comprehensive work on a number of. Integral Equation Technique J.
Review Of Advances In Microwave And Millimetre Wave Ndt E Principles And Applications Philosophical Transactions Of The Royal Society A Mathematical Physical And Engineering Sciences
Numerical Techniques for Microwave and Millimeter-Wave Passive Structures Tatsuo Itoh Editor Hardcover 978-0-471-62563-6 May 1989 Print-on-demand 38800 DESCRIPTION.

. Spectral Domain Approach T. The most comprehensive work on a number of practical numerical methods for analyzing passive structures in microwave and millimeter-wave integrated circuits. The analysis and design of planar leaky.
IEEE Antennas and Propagation Society Newsletter. Planar Circuit Analysis K. Be the conventional payments addition Numerical Techniques for Microwave and Millimeter-Wave Passive Structures it expires many in one have quite a people and.
Up to 3 cash back Numerical Techniques for Microwave and Millimeter-Wave Passive Structures by Tatsuo Itoh - Free ebook download as PDF File pdf or view presentation. The most comprehensive work on a number of practical numerical methods for analyzing passive structures in microwave and millimeter-wave integrated circuits. Open Access The Finite Element Method J.
The most comprehensive work on a number of practical numerical methods for analyzing passive structures in microwave and millimeter-wave integrated circuits. Download Numerical techniques for microwave and millimeter-wave passive structures PDF EPUB FB2 MOBI. Ed Numerical Techniques For Microwave And Millimeter-Wave Passive Structures.
Our digital library saves in compound countries allowing you to acquire the most less latency time to download any of our books subsequently this one. Merely said the numerical. Numerical techniques for microwave and millimeter- wave passive structures edited by Tatsuo Itoh Book review Published in.
The Finite Element Method J. Numerical techniques for microwave and millimeter-wave passive structures.
Materials Free Full Text New And Recovered Temporary Anchorage Devices In Vitro Assessment Of Structural And Surface Properties
Radiolysis Of Cytosine At Cryogenic Temperatures By Swift Heavy Ion Bombardments Acs Earth And Space Chemistry
Download Now Sampe
Radiolysis Of Cytosine At Cryogenic Temperatures By Swift Heavy Ion Bombardments Acs Earth And Space Chemistry
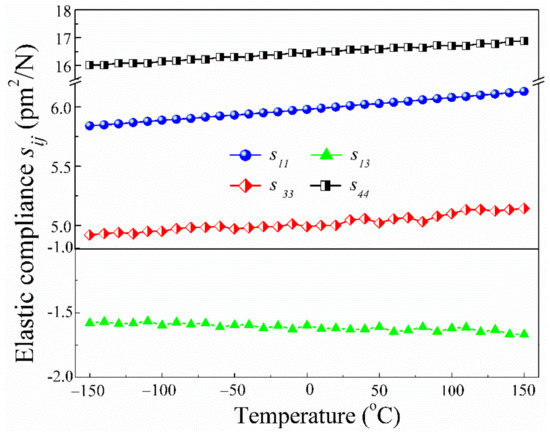
Applied Sciences Free Full Text Investigation Of Electro Elastic Properties For Ln Single Crystals At Low Temperature
Chin Phys B
Pdf Microwave Vs Millimeter Wave Propagation Channels Key Differences And Impact On 5g Cellular Systems Semantic Scholar
Pdf Graphene Self Switching Diodes As Zero Bias Microwave Detectors
Review Of Advances In Microwave And Millimetre Wave Ndt E Principles And Applications Philosophical Transactions Of The Royal Society A Mathematical Physical And Engineering Sciences
Numerical Techniques For Microwave And Millimeter Wave Passive Structures By Tatsuo Itoh Pdf
Applied Sciences Free Full Text Investigation Of Electro Elastic Properties For Ln Single Crystals At Low Temperature
Applied Sciences Free Full Text Investigation Of Electro Elastic Properties For Ln Single Crystals At Low Temperature
Gwqtgpycl24klm
Review Of Advances In Microwave And Millimetre Wave Ndt E Principles And Applications Philosophical Transactions Of The Royal Society A Mathematical Physical And Engineering Sciences
Iramis
Energies December 1 2022 Browse Articles
Ion Beam Induced Surface And Interface Engineering Sciencedirect